Каталог каналов Каналы в закладках Мои каналы Поиск постов Рекламные посты
Инструменты
Каталог TGAds beta Мониторинг Детальная статистика Анализ аудитории Бот аналитики
Полезная информация
Инструкция Telemetr Документация к API Чат Telemetr
Полезные сервисы

Не попадитесь на накрученные каналы! Узнайте, не накручивает ли канал просмотры или подписчиков Проверить канал на накрутку
Прикрепить Телеграм-аккаунт Прикрепить Телеграм-аккаунт

Телеграм канал «Математика с нуля»

Математика с нуля
464
676
12
6
273
Геометрией он занялся поздно; кто-то спросил: «Разве теперь время для этого?» — «Неужели еще не время?» — переспросил Лакид.

По всем вопросам: @ederika
Чат канала: @marhfromzerochat
Наш Boosty: https://boosty.to/mathfromzero
Подписчики
Всего
1 704
Сегодня
-4
Просмотров на пост
Всего
192
ER
Общий
6.7%
Суточный
6%
Динамика публикаций
Telemetr - сервис глубокой аналитики
телеграм-каналов
Получите подробную информацию о каждом канале
Отберите самые эффективные каналы для
рекламных размещений, по приросту подписчиков,
ER, количеству просмотров на пост и другим метрикам
Анализируйте рекламные посты
и креативы
Узнайте какие посты лучше сработали,
а какие хуже, даже если их давно удалили
Оценивайте эффективность тематики и контента
Узнайте, какую тематику лучше не рекламировать
на канале, а какая зайдет на ура
Попробовать бесплатно
Показано 7 из 464 постов
Смотреть все посты
Пост от 03.04.2026 11:36
64
1
0
2
Пост от 31.03.2026 21:44
141
0
0
Интуитивно не так сложно понять это и прийти к этой формуле.

Если посмотреть на числа n:

1≤n<10 => 1 цифра
10≤n<100 => 2 цифры
100≤n<1000 => 3 цифры
10^(q-1)≤n<10^(q) => q цифр.

И тут хотелось бы как-то перейти от степени 10 к показателю 10, тк этот показатель и есть q. Вспоминаем, что log(n,n)=1. Отсюда мысль о том, что тут нужен логарифм. А мысль, почему нужна функция антье, ввиду того, что нам нужны целые части получаемых чисел от log(10,n). Так мы и приходим к тому, что n может быть аргументом функции функции [log(10,n)] и если рассмотреть при тех же n:

1≤n<10 => [log(10,n)]=0
10≤n<100 => [log(10,n)]=1
100≤n<1000 => [log(10,n)]=2
10^(q-1)≤n<10^(q) => [log(10,n)]=q-1

остается добавить 1 и получится искомое количество цифр

1≤n<10 => [log(10,n)]+1=1
10≤n<100 => [log(10,n)]+1=2
100≤n<1000 => [log(10,n)]+1=3
10^(q-1)≤n<10^(q) => [log(10,n)]+1=q.
3
Пост от 31.03.2026 21:26
129
0
0
Пусть n ∈ N. Тогда количество цифр q в десятичной записи числа n вычисляется по формуле

q=[log(10,n)]+1.

Доказательство. Если натуральное число состоит из q цифр, то оно ограничено снизу наименьшим q-значным числом и строго ограничено сверху наименьшим (q+1)-значным числом. Наименьшее q-значное число равно 10^(q-1), а наименьшее (q+1)-значное число равно 10^q. То есть верно следующее двойное неравенство:

10^(q-1) ≤ n ≤ 10^q

Применим логарифмическую функцию по основанию 10 ко всем частям двойного неравенства:

q-1 ≤ log(10,n) ≤ q

Знак сохранился ввиду того, что основание логарифмической функции больше 1 и она строго монотонно возрастающая на всей области определения.

Обратимся к определению функции антье (нижняя целая часть числа):
для любого действительного числа x его нижняя целая часть — это такое наибольшее целое число m, что выполняется условие:

m ≤ x ≤ m+1

Перепишем наше равенство в эквивалентном виде:

q-1 ≤ log(10,n) ≤ (q-1)+1

Видно, что оно точно совпадает с определением функции антье, где роль x играет log(10,n), а роль целого числа m играет (q-1).
Следовательно, по определению:

[log(10,n)]=q-1 <=> q=[log(10,n)]+1

Тоерема доказана.
4
Пост от 25.03.2026 18:57
219
5
2
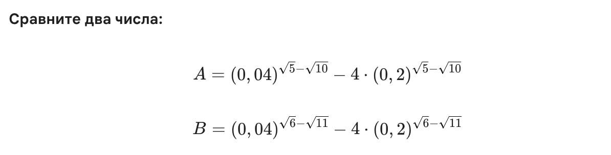
Заметим, что 0.04=0.2^2, тогда выражение имеет вид t^2-4t, где t=(0.2)^x, t^2=(0.2)^2x.
Более того, h(t)=t^2-4t=(t-2)^2-4, где график функции h(t) — парабола, ветви которой направлены вверх, с вершиной в t=2.

Оценим аргументы:
Пусть x_1=sqrt(5)-sqrt(10), x_2=sqrt(6)-sqrt(11)
sqrt(5)-sqrt(10) and sqrt(6)-sqrt(11)
sqrt(5)+sqrt(11) and sqrt(6)+sqrt(10)
16+2*sqrt(55) and 16+2*sqrt(60)
2*sqrt(55) < 2*sqrt(60) => sqrt(5)-sqrt(10) < sqrt(6)-sqrt(11) <=> x_1<x_2.

Рассмотрим функцию u(x)=(0.2)^x — строго убывающая функция, так как f(x)=a^x, a ∈ (0;1) — строго убывающая функция. Тогда x_1<x_2<0 => u(x_1)>u(x_2)>u(0)=1 => t_1>t_2>1.

Важно заметить, если бы вершина параболы была в точке t_0<=1, то можно было закончить решение и сказать, что x_1<x_2<0 => u(x_1)>u(x_2)>1 => t_1>t_2>1 => h(t_1)>h(t_2) => A>B, так как функция h(t) была бы строго возрастающая на промежутке от (t_0; +infy), но ввиду того, что t_0=2, и на промежутке (-infty;2) она строго убывающая могут быть такие варианты:

2>u(x_1)>u(x_2)>1 => 2>t_1>t_2>1 => h(t_1)<h(t_2) => A<B;
u(x_1)>2>u(x_2)>1 => t_1>2>t_2>1 => A ? B — здесь мы вообще не уверены, что больше, так как они на разных участках монотонности;
u(x_1)>u(x_2)>2 => t_1>t_2>2 => h(t_1)>h(t_2) => A>B.

То есть мы не может дать однозначный ответ, поэтому нужно проверить, что u(x_2)>2, т. е. t_2>2 (или первый случай).

Проверим u(x_2)=0.2^[sqrt(6)-sqrt(11)]>2:

0.2^[sqrt(6)-sqrt(11)]=5^(-1*[sqrt(6)-sqrt(11)])=5^[sqrt(11)-sqrt(6)]. То есть
5^[sqrt(11)-sqrt(6)]>2.
5^1/2>4^1/2=2, то есть достаточно доказать, что sqrt(11)-sqrt(6)>1/2.
sqrt(11)>1/2+sqrt(6)
11>6.25+sqrt(6)
4.75>sqrt(6)
4.75^2>6
22.5625>6 что верно.

То есть
sqrt(11)-sqrt(6)>1/2, следовательно 5^[sqrt(11)-sqrt(6)]>5^1/2>2.

Итог: u(x_1)>u(x_2)>2 => t_1>t_2>2. Поэтому выполняется третий вариант и A>B.
3
Пост от 25.03.2026 16:59
202
0
3
интересная задачка

для гениев: без калькулятора
2
Пост от 23.03.2026 15:36
218
0
0
мб кому-то понятнее так будет
Изображение
Изображение
2
Пост от 23.03.2026 15:26
220
0
1
Пусть t(x)=|x-a-1|+|x-a+1|. Геометрически на вещественной прямой эта сумма расстояний от переменной точки х до фиксированных точек a+1 и a-1. Расстояние между этими точками равно 2. В силу кусочно-линейного анализа, получим, что минимум этой функции достигается на отрезке [a-1;a+1] и равен 2. То есть:

Для любого x ∈ [a-1;a+1] значение t(x)=2. Это означает, что на данном промежутке несчетное множество решений.
Вне этого отрезка функция строго монотонна по обе стороны. Таким образом, для любого значения T>2 будет ровно два решения (что нам и нужно), для T<2 ноль решений.

Сделаем замену и получим квадратное уравнение относительно t:

P(t)=t^2+at+a^2-16=0.

Нужно чтобы исходное уравнение имело ровно два различных корня x. А это возможно тогда и только тогда, когда полином P(t) имеет ровно один корень строго больше 2, а остальные корни (если они есть) строго меньше 2.

Первый случай. Пусть корни различны, один строго больше 2, другой строго меньше 2. Так как старший коэффициент параболы положителен, корни будут лежать по разные стороны от точки t=2 тогда и только тогда, когда значение полинома в этой точке отрицательно.

P(2)=2^2+2a+a^2-16=a^2+2a-12.

Требуем P(2)<0:

a^2+2a-12<0 => (a+1)^2-13<0 => a ∈ (-1-sqrt(13);-1+sqrt(13)).

Второй случай. Есть один корень и этот корень строго больше 2.
Найдем дискриминант D=64-3a^2.
Он должен быть равен нулю 64-3a^2=0 => a=+-8/sqrt(3).
При D=0 единственный корень полинома равен t_0=-a/2. Проверим оба значения параметра:
a=8/sqrt(3), t_0=-4/sqrt(3)<2 — не подходит.
a=-8/sqrt(3), t_0=4/sqrt(3)>2 — подходит.

Объединим результат из двух случаев, получим:

a ∈ (-1-sqrt(13); -1+sqrt(13)) ∪ {-8/sqrt(3)}

Ответ: a ∈ (-1-sqrt(13); -1+sqrt(13)) ∪ {-8/sqrt(3)}.
3
Смотреть все посты